위상 정렬
- 사이클이 없는 방향 그래프의 모든 노드를 방향성에 거스르지 않도록 순서대로 나열
- 예시 ) 선수과목을 고려한 학습 순서 설정



진입차수(Indegree)
- 특정 노드로 들어오는 간선의 개수
진출차수(Outdegree)
- 특정 노드에서 나가는 간선의 개수
위상 정렬 알고리즘
[큐를 이용한 위상 정렬 알고리즘 동작 과정]
1. 진입차수가 0인 모든 노드를 큐에 넣음
2. 큐가 빌 때까지 다음의 과정을 반복
1 ) 큐에서 원소를 꺼내 해당 노드에서 나가는 간선을 그래프에서 제거
2 ) 새롭게 진입차수가 0이 된 노드를 큐에 넣음
-> 결과적으로 각 노드가 큐에 들어온 순서가 위상 정렬을 수행한 결과
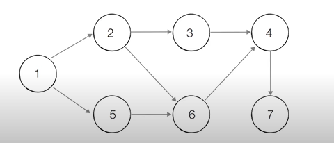
위상정렬 그래프 준비 -> 사이클 없는 방향 그래프(DAG)

[초기단계] 진입차수가 0인 모든 노드를 큐에 넣기 -> 노드 1이 큐에 삽입

[1단계] 큐에서 노드 1을 꺼낸 뒤에 노드 1에서 나가는 간선 제거 -> 새롭게 진입차수가 0이 된 노드 큐에 삽입

[2단계] 큐에서 노드 2를 꺼낸 뒤에 노드 2에서 나가는 간선 제거 -> 새롭게 진입차수가 0이 된 노드 큐에 삽입

[3-6단계] 위의 과정 큐가 빌 때까지 반복

[수행결과]

위상 정렬의 특징
- 위상 정렬은 DAG에 대해서만 수행 가능 (DAG : Direct Acyclic Graph) - 순환하지 않는 방향 그래프)
- 위상 정렬에서는 여러 가지 답이 존재할 수 있음
-> 한 단계에서 큐에 새롭게 들어가는 원소가 2개 이산인 경우가 있다면 여러 가지 답이 존재
- 모든 원소를 방문하기 전에 큐가 빈다면 사이클이 존재한다고 판단할 수 있음
-> 사이클에 포함된 원소 중에서 어떠한 원소도 큐에 들어가지 못함
- 스택을 활용한 DFS를 이용해 위상 정렬을 수행할 수도 있음
from collections import deque
# 노드의 개수와 간선의 개수를 입력 받기
v, e = map(int, input().split())
# 모든 노드에 대한 진입차수는 0으로 초기화
indegree = [0] * (v+1)
# 각 노드에 연결된 간선 정보를 담기 위한 연결 리스트 초기화
graph = [[] for _ in range(v+1)]
# 방향 그래프의 모든 간선 정보를 입력 받기
for _ in range(e):
a, b = map(int, input().split())
graph[a].append(b) # 정점 A에서 B로 이동 가능
# 진입 차수를 1 증가
indegree[b] += 1
# 위상 정렬 함수
def topology_sort():
result = [] # 알고리즘 수행 결과를 담을 리스트
q = deque() # 큐 기능을 위한 deque 라이브러리 사용
# 처음 시작할 때는 진입차수가 0인 노드를 큐에 삽입
for i in range(1, v+1):
if indegree[i] == 0:
q.append(i)
# 큐가 빌 때까지 반복
while q:
# 큐에서 원소 꺼내기
now = q.popleft()
result.append(now)
# 해당 원소와 연결된 노드들의 진입차수에서 1 빼기
for i in graph[now]:
indegree[i] -= 1
# 새롭게 진입차수가 0이 되는 노드를 큐에 삽입
if indegree[i] == 0:
q.append(i)
# 위상 정렬을 수행한 결과 출력
for i in result:
print(i, end=' ')
topology_sort()
위상 정렬 알고리즘 성능 분석
- 위상 정렬을 위해 차례대로 모든 노드를 확인하며 각 노드에서 나가는 간선을 차례대로 제거
- 위상 정렬 알고리즘의 시간 복잡도 : O(V+E)
'Algorithm' 카테고리의 다른 글
| [알고리즘] 최단 경로 알고리즘 - 플로이드 워셜(Floyd-Warshall) (0) | 2022.05.24 |
|---|---|
| [알고리즘] 최단 경로 알고리즘 - 다익스트라(Dijkstra) (0) | 2022.05.24 |
| [알고리즘] 최소 신장 트리 - 크루스칼 알고리즘 (0) | 2022.05.24 |
| [알고리즘] 서로소 집합 (Disjoint Sets) (0) | 2022.05.24 |
| [알고리즘] 다이나믹 프로그래밍(Dynamic Programming) (0) | 2022.05.10 |