트리(Tree)
계층적인 구조를 표현할 때 사용

루트 노드 : 부모가 없는 최상위 노드
단말 노드 : 자식이 없는 노드
크기 : 트리에 포함된 모든 노드의 개수
깊이 : 루트 노드부터의 거리
높이 : 깊이 중 최댓값
차수 : 각 노드의 간선 개수
트리의 크기가 N일 때, 전체 간선의 개수는 N - 1개

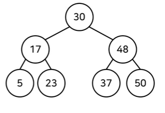
이진 탐색이 동작에 효율적임
이진 탐색 트리의 특징 : 왼쪽 자식 노드 < 부모 노드 < 오른쪽 자식 노드
(부모 노드보다 왼쪽 자식 노드가 작음, 부모 노드보다 오른쪽 자식 노드가 큼)
트리 순회 방법

전위 순회 : 루트 먼저 방문
중위 순회 : 왼쪽 자식 방문 뒤 루트 방문
후위 순회 : 왼쪽 - 오른쪽 - 루트
class Node:
def __init__(self, data, left_node, right_node):
self.data = data
self.left_node = left_node
self.right_node = right_node
# 전위순회
def pre_order(node):
print(node.data, end=' ')
if node.left_node != None:
pre_order(tree[node.left_node])
if node.right_node != None:
pre_order(tree[node.right_node])
# 중위순회
def in_order(node):
if node.left_node != None:
in_order(tree[node.left_node])
print(node.data, end=' ')
if node.right_node != None:
in_order(tree[node.right_node])
# 후위순회
def post_order(node):
if node.left_node != None:
post_order(tree[node.left_node])
if node.right_node != None:
post_order(tree[node.right_node])
print(node.data, end = ' ')
n = int(input())
tree = {}
for i in range(n):
data, left_node, right_node = input().split()
if left_node == 'None':
left_node = None
if right_node == 'None':
right_node = None
tree[data] = Node(data, left_node, right_node)
pre_order(tree['A'])
print()
in_order(tree['A'])
print()
post_order(tree['A'])
'CS > 자료구조' 카테고리의 다른 글
| [자료구조] 우선순위 큐(Priority Queue)와 힙(Heap) (0) | 2022.06.08 |
|---|