우선순위 큐(Priority Queue)
우선순위 큐 : 우선순위가 가장 높은 데이터를 가장 먼저 삭제하는 자료구조
- 데이터를 우선순위에 따라 처리하고 싶을 때 사용
| 자료구조 | 추출되는 데이터 |
| 스택(Stack) | 가장 나중에 삽입된 데이터 |
| 큐(Queue) | 가장 먼저 삽입된 데이터 |
| 우선순위 큐(Priority Queue) | 가장 우선순위가 높은 데이터 |
우선순위 큐(Priority Queue) 구현 방법
- 리스트 이용하여 구현
- 힙(heap)을 이용하여 구현
- 데이터의 개수가 N개일 때, 구현 방식에 따른 시간 복잡도
| 우선순위 큐 구현 방법 | 삽입 시간 | 삭제 시간 |
| 리스트 | O(1) | O(N) |
| 힙(Heap) | O(logN) | O(logN) |
N개의 데이터를 힙에 넣었다가 모두 꺼내는 작업은 정렬과 동일 (힙 정렬) _ 시간 복잡도 : O(NlogN)
힙(Heap)
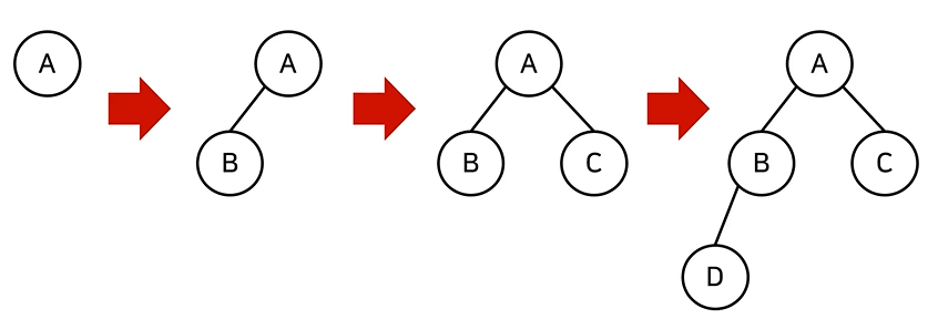
- 완전 이진 트리 자료구조
완전 이진 트리 : 루트 노드부터 시작하여 왼쪽 자식 노드, 오른쪽 자식 노드 순서대로 데이터가 차례대로 삽입되는 트리

- 루트 노드를 제거
- 최소 힙 (min heap)
루트 노드가 가장 작은 값을 가짐, 값이 가장 작은 데이터가 우선적으로 제거
(상향식) 부모 노드로 거슬로 올라가며, 부모보다 자신의 값이 더 작은 경우에 위치 교체

- 최대 힙 (max heap)
루트 노드가 가장 큰 값을 가짐, 값이 가장 큰 데이터가 우선적으로 제거
import sys
import heapq
input = sys.stdin.readline
def heapsort(iterable):
h = []
result = []
for value in iterable:
heapq.heappush(h, value)
for i in range(len(h)):
result.append(heapq.heappop(h))
return result
n = int(input())
arr = []
for i in range(n):
arr.append(int(input()))
res = heapsort(arr)
for i in range(n):
print(res[i])
'CS > 자료구조' 카테고리의 다른 글
| [자료구조] 트리(Tree) (0) | 2022.06.16 |
|---|